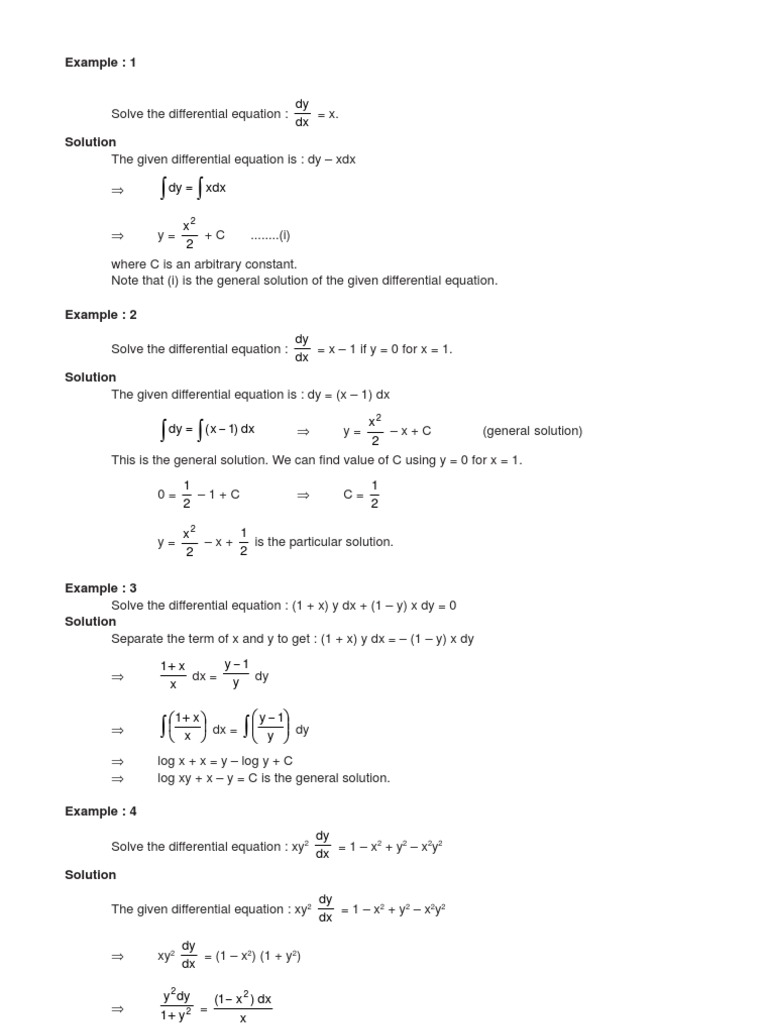
Solve The Given Differential Equations N X Y P 2 Left X 2 X Y Y 2 Right P X 2 X Y 0 Where P Frac D Y D X
(x 2 p) 2 (y 2 q)z = 2z 2 Here m = 2, n = 2 Put X = x 1m = x 1 and Y = y 1n = y 1 We have x m p = (1m) P and y n q = (1n)Q ie, x 2 p = P and y 2 q = Q Hence the given equation becomes P 2 –Qz = 2z 2 (1) This equation is of the form f (z,P,Q) = 0 Let us take Q = aP Then equation (1) reduces to P 2 –aPz =2z 2 Example 19 Solve x 2 p 2 y 2 q 2 = z 2We first recall the basic idea for first order equations Given an initial value problem of the form y ′ = f(x, y), y(a) = c, we want to find the approximate value of the solution at x = b with b > a Recall from the definition of the derivative that y ′ (x) ≈ y(x h) − y(x) h, where h > 0 is given and small
Solve x y 2+z p-y x 2+z q z x 2-y 2
Solve x y 2+z p-y x 2+z q z x 2-y 2-Get stepbystep solutions from expert tutors as fast as 1530 minutes Your first 5 questions are on us!Answer p² 2pycot(x) y² cot²(x) —y²cot²(x)y²=0=>(pycot(x))²=y²(1cot²(x))=>pycot(x)=±ycosec(x) => either p= — y(cot(x)—cosec(x)) or p=y(cot(x)cosec(x)=> either dy/dx=y(cot(x)cosec(x)) or dy/dx=y(cot(x)cosec(x)) then either integration of dy/y = — integration of (cot(x)cosec(x)
Assignmentexpert Com
1(r)es, x y = 2c 2(r)e s, so x2 y2 = (xy)(x y) = 4c 1(r)c 2(r), ie is a constant along the projected characteristic curves In other words, the projected characteristic curves are x 2 y = C, C a constant, and the solution is a function that is constant along these One has toSolvex^2 (yz)py^2 (zx)q=z^2 (xy) Watch later Share Copy link Info Shopping Tap to unmute If playback doesn't begin shortly, try restarting your device Up nextAm I suppose to solve $$ \int _1^\infty \int _1^\infty 2X Y^2 dx dy$$ That's not going to give me a value between 0 and 1 This is where I'm stuck
The quadratic formula Every step works just as usual except we have the following Question How do we take square roots mod p?X= c b a (mod p) Example Solve 3x 4 = 1 (mod 5) 5 Step 1 Subtract 4 from both sides Since 4 = 1 (mod 5) this is the same as adding 1 to both sides!Course Title COMPUTER 159;
Solve x y 2+z p-y x 2+z q z x 2-y 2のギャラリー
各画像をクリックすると、ダウンロードまたは拡大表示できます
Percentage Calculator N S Academia Edu | Percentage Calculator N S Academia Edu | ![]() Percentage Calculator N S Academia Edu |
Percentage Calculator N S Academia Edu | Percentage Calculator N S Academia Edu | Percentage Calculator N S Academia Edu |
![]() Percentage Calculator N S Academia Edu | Percentage Calculator N S Academia Edu | Percentage Calculator N S Academia Edu |
「Solve x y 2+z p-y x 2+z q z x 2-y 2」の画像ギャラリー、詳細は各画像をクリックしてください。
![]() Percentage Calculator N S Academia Edu | ![]() Percentage Calculator N S Academia Edu | Percentage Calculator N S Academia Edu |
Percentage Calculator N S Academia Edu | ![]() Percentage Calculator N S Academia Edu | ![]() Percentage Calculator N S Academia Edu |
Percentage Calculator N S Academia Edu | ![]() Percentage Calculator N S Academia Edu | ![]() Percentage Calculator N S Academia Edu |
「Solve x y 2+z p-y x 2+z q z x 2-y 2」の画像ギャラリー、詳細は各画像をクリックしてください。
![]() Percentage Calculator N S Academia Edu | ![]() Percentage Calculator N S Academia Edu | ![]() Percentage Calculator N S Academia Edu |
![]() Percentage Calculator N S Academia Edu | ![]() Percentage Calculator N S Academia Edu | ![]() Percentage Calculator N S Academia Edu |
![]() Percentage Calculator N S Academia Edu | ![]() Percentage Calculator N S Academia Edu | ![]() Percentage Calculator N S Academia Edu |
「Solve x y 2+z p-y x 2+z q z x 2-y 2」の画像ギャラリー、詳細は各画像をクリックしてください。
![]() Percentage Calculator N S Academia Edu | ![]() Percentage Calculator N S Academia Edu | ![]() Percentage Calculator N S Academia Edu |
Percentage Calculator N S Academia Edu | ![]() Percentage Calculator N S Academia Edu | Percentage Calculator N S Academia Edu |
![]() Percentage Calculator N S Academia Edu | Percentage Calculator N S Academia Edu | Percentage Calculator N S Academia Edu |
「Solve x y 2+z p-y x 2+z q z x 2-y 2」の画像ギャラリー、詳細は各画像をクリックしてください。
![]() Percentage Calculator N S Academia Edu | Percentage Calculator N S Academia Edu | ![]() Percentage Calculator N S Academia Edu |
![]() Percentage Calculator N S Academia Edu | ![]() Percentage Calculator N S Academia Edu | Percentage Calculator N S Academia Edu |
![]() Percentage Calculator N S Academia Edu | ![]() Percentage Calculator N S Academia Edu | ![]() Percentage Calculator N S Academia Edu |
「Solve x y 2+z p-y x 2+z q z x 2-y 2」の画像ギャラリー、詳細は各画像をクリックしてください。
![]() Percentage Calculator N S Academia Edu | ![]() Percentage Calculator N S Academia Edu | ![]() Percentage Calculator N S Academia Edu |
![]() Percentage Calculator N S Academia Edu | ![]() Percentage Calculator N S Academia Edu | ![]() Percentage Calculator N S Academia Edu |
Percentage Calculator N S Academia Edu | Percentage Calculator N S Academia Edu | Percentage Calculator N S Academia Edu |
「Solve x y 2+z p-y x 2+z q z x 2-y 2」の画像ギャラリー、詳細は各画像をクリックしてください。
![]() Percentage Calculator N S Academia Edu | ![]() Percentage Calculator N S Academia Edu | Percentage Calculator N S Academia Edu |
Percentage Calculator N S Academia Edu | ![]() Percentage Calculator N S Academia Edu | ![]() Percentage Calculator N S Academia Edu |
![]() Percentage Calculator N S Academia Edu | Percentage Calculator N S Academia Edu | ![]() Percentage Calculator N S Academia Edu |
「Solve x y 2+z p-y x 2+z q z x 2-y 2」の画像ギャラリー、詳細は各画像をクリックしてください。
Percentage Calculator N S Academia Edu | ![]() Percentage Calculator N S Academia Edu | ![]() Percentage Calculator N S Academia Edu |
![]() Percentage Calculator N S Academia Edu | ![]() Percentage Calculator N S Academia Edu | ![]() Percentage Calculator N S Academia Edu |
Percentage Calculator N S Academia Edu | ![]() Percentage Calculator N S Academia Edu | ![]() Percentage Calculator N S Academia Edu |
「Solve x y 2+z p-y x 2+z q z x 2-y 2」の画像ギャラリー、詳細は各画像をクリックしてください。
![]() Percentage Calculator N S Academia Edu | ![]() Percentage Calculator N S Academia Edu | ![]() Percentage Calculator N S Academia Edu |
Percentage Calculator N S Academia Edu | Percentage Calculator N S Academia Edu | ![]() Percentage Calculator N S Academia Edu |
Percentage Calculator N S Academia Edu | Percentage Calculator N S Academia Edu | ![]() Percentage Calculator N S Academia Edu |
「Solve x y 2+z p-y x 2+z q z x 2-y 2」の画像ギャラリー、詳細は各画像をクリックしてください。
Percentage Calculator N S Academia Edu | Percentage Calculator N S Academia Edu | Percentage Calculator N S Academia Edu |
![]() Percentage Calculator N S Academia Edu | Percentage Calculator N S Academia Edu | ![]() Percentage Calculator N S Academia Edu |
Percentage Calculator N S Academia Edu | ![]() Percentage Calculator N S Academia Edu | Percentage Calculator N S Academia Edu |
「Solve x y 2+z p-y x 2+z q z x 2-y 2」の画像ギャラリー、詳細は各画像をクリックしてください。
![]() Percentage Calculator N S Academia Edu | Percentage Calculator N S Academia Edu | Percentage Calculator N S Academia Edu |
Percentage Calculator N S Academia Edu | Percentage Calculator N S Academia Edu | Percentage Calculator N S Academia Edu |
![]() Percentage Calculator N S Academia Edu | ![]() Percentage Calculator N S Academia Edu | Percentage Calculator N S Academia Edu |
「Solve x y 2+z p-y x 2+z q z x 2-y 2」の画像ギャラリー、詳細は各画像をクリックしてください。
Percentage Calculator N S Academia Edu | ![]() Percentage Calculator N S Academia Edu | Percentage Calculator N S Academia Edu |
![]() Percentage Calculator N S Academia Edu |
2D2 Bessel'sequationoforderp is x2y′′ xy′ (x2 −p2)y = 0 For p = 1 2, two independent solutions for x > 0 are y1 = sinx √ x and y2 = cosx √ x, x > 0 Find the general solution to x2y′′ xy′ (x2 − 1 4)y = x3/2cosx 2D3 Consider the ODE y′′ p(x)y′ q(x)y = r(x)2 22 0 uu u uu xyD(x,y,u, , ) xy (x i=1m,y j=1n) or n*m unknowns 4 Solve this banded system with an efficient scheme Using GaussSeidel iteratively yields the Liebmann Method i1,j i,j i1,j2 2 22 u2uu x O( x ) u x() −−
Incoming Term: solve x y 2, solve x y 2+z p-y x 2+z q z x 2-y 2,






























































